AVL木の性質
2025-04-20
はじめに
平衡二分探索木の実装と使い分けを整理したくなったので、簡潔にまとめる。
数あるバリエーションのうち、本記事では
- AVL木(高さ差を±1で厳密に保つ・簡潔な実装)
に絞って解説する。 赤黒木や Treap などの他の平衡二分探索木については後日記事を追加する予定。
参考文献は主に『アルゴリズムイントロダクション』(第3版和訳)と Sedgewick & Wayne『Algorithms, 4th Edition』を参照。誤りがあれば指摘求む。
基本概念
ノードの構造とバランス係数
高さの上界
頂点数 n の AVL 木の高さは 未満になる
ラフな証明
を高さ h の AVL 木の最小の接点数とする このとき m(1) = 1, m(2) = 2, 任意の h > 2 に対して m(h) = m(h - 1) + m(h - 2) + 1 (高さ h の AVL 木は左右の部分木が h-1 と h-2 の AVL 木になるため) これはフィボナッチ数列の定義と非常に似ている () を h 番目のフィボナッチ数とすると,
任意の h > 2 について
より, 頂点 n 高さ h の AVL 木について
計算すると
BST との違い・メリット
| 視点 | 二分探索木(未平衡) | AVL 木 | 備考 |
| 高さ | n | ||
| 探索速度 | 最悪n | 常に | |
| 更新コスト | ほぼ0 | 高さ計算+回転 |
回転パターンの図解
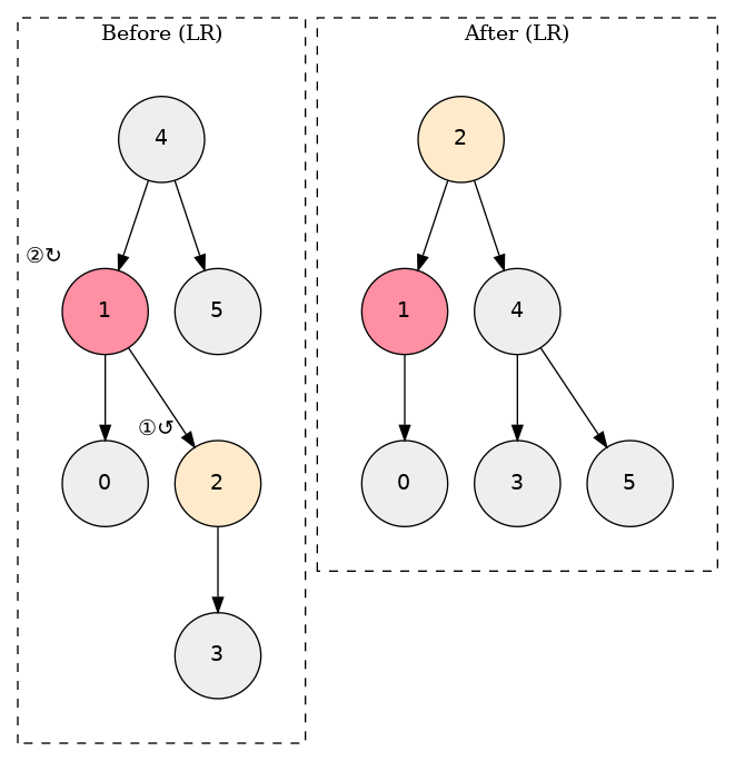
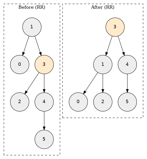
次は回転について説明する。 平衡二分探索木では、木の順序(左ノード < 親ノード < 右ノード) を 壊さずに高さを整えるために回転という操作を行う。 AVL 木で実際に必要な回転は次の 4 パターンだけ。
LL(右回転)

色付きのノードを右に回転する
- 4 の左の子を 2 の右の部分木(3)につけ直す
- 2 をルートにして、4 を 2 の右の子として接続する
- 4 -> 2 の順に高さ/バランス係数を再計算する
RR(左回転)
LL(右回転)を逆にしただけ。
手順は
- 1 の右の子を 3 の左の部分木(2)につけ直す
- 3 をルートにして、1 を 3 の左の子として接続する
- 1 -> 3 の順に高さ/バランス係数を再計算する
LR(左‑右回転)
左のノードの右部分木が伸びているパターン。
1回右回転してLLのパターンにしてから左に回転してバランスを取る。

RL(右‑左回転)
実装(C++)
ノードと木の定義
template <typename T>
struct AVLNode {
T data;
AVLNode* left = nullptr;
AVLNode* right = nullptr;
int8_t balance = 0; // -1 <= balance <= 1
};
template <typename T>
class AVLTree {
public:
void insert(const T& key);
void erase(const T& key);
bool search(const T& key) const;
void clear();
private:
AVLNode<T> *root = nullptr;
int height(AVLNode<T>* n) const;
void update(AVLNode<T>* n);
AVLNode<T> *rotateLeft(AVLNode<T> *x);
AVLNode<T> *rotateRight(AVLNode<T> *y);
AVLNode<T> *rebalance(AVLNode<T> *n);
AVLNode<T> *insertImpl(AVLNode<T> *n, const T& key);
AVLNode<T> *eraseImpl(AVLNode<T> *n, const T& key);
};
挿入
template<typename T>
void AVLTree<T>::insert(const T& key) {
root = insertImpl(root, key);
}
template<typename T>
AVLNode<T>* AVLTree<T>::insertImpl(AVLNode<T> *n, const T& key) {
if (n == nullptr) {
return new AVLNode<T>(key, nullptr, nullptr, 0);
}
if (n->data > key) {
n->left = insertImpl(n->left, key);
} else if (n->data < key) {
n->right = insertImpl(n->right, key);
} else {
return n;
}
n->bal = height(n->left) - height(n->right);
return rebalance(n);
}
削除
探索
テスト用 main と assert
ユースケースと実務採用例
- SQLite インデックス
- 競技プログラミング用ライブラリ
- その他 DB エンジンとの比較
8. 参考文献・リンク集
- 『アルゴリズムイントロダクション』3 版
- Sedgewick & Wayne “Algorithms, 4th Ed.”
- GNU libavl 2.0 ドキュメント
- AVL木の最悪高さの証明は(https://str.i.kyushu-u.ac.jp/~inenaga/lectures/ADS/02_AVL-trees.pdf) を参考にした